Ngày 27/08/2019
Chúng ta thường tin rằng chứng nhận sản xuất bền vững sản phẩm cà phê sẽ giúp tăng lợi ích kinh tế cho nông dân và giảm tác động tiêu cực đến môi trường. Tuy nhiên, các nghiên cứu khoa học trên thế giới không thực sự xác nhận điều này. Ngoài ra, ở Việt Nam - quốc gia sản xuất cà phê lớn thứ hai thế giới lại thiếu những kết quả nghiên cứu về hiệu quả kinh tế - môi trường trong sản xuất cà phê. Giá trị gia tăng của sản xuất cà phê thường đi kèm với áp lực môi trường trong sản xuất cà phê. Áp lực môi trường bao gồm mức tiêu thụ nitơ, phốt pho, nước tưới, thuốc trừ sâu, thuốc diệt cỏ, thuốc diệt nấm và sử dụng đất. Kết quả nghiên cứu cho thấy trong mỗi năm, các hộ trồng cà phê có thể giảm khoảng 50% áp lực môi trường trong khi vẫn có thể duy trì giá trị gia tăng hiện tại. Bình quân những hộ sản xuất theo chứng nhận bền vững đạt được hiệu quả kinh tế - môi trường cao hơn các hộ không tham gia chứng nhận, nhưng sự khác biệt về hiệu quả dường như hội tụ theo thời gian. Sự hội tụ này có thể là do các tác động lan tỏa tích cực của chứng nhận, hoặc do các hộ tham gia giảm tuân thủ các tiêu chuẩn môi trường của chương trình chứng nhận.. Kết quả nghiên cứu cũng cho thấy, các vườn cà phê ở độ cao cao, có cây chắn gió và sử dụng hệ thống tưới nhỏ giọt hoặc phun mưa có hiệu quả kinh tế môi trường tốt hơn so với các hộ khác. Những yếu tố này cần được cân nhắc khi thiết kế chính sách sản xuất cà phê bền vững, thay vì chỉ tập trung vào việc cấp nhiều chứng nhận sản xuất bền vững.
Từ cuối những năm 90 đến nay, ngành cà phê Việt Nam đạt được nhiều thành tựu to lớn. Việt Nam vượt qua nhiều quốc gia như Columbia, Indonesia để trở thành quốc gia đứng thứ hai trên thế giới về sản lượng cà phê sau Brazil và tiếp tục phát triển mạnh mẽ cho tới những năm gần đây (Hình 1, Sản lượng cà phê của các quốc gia sản xuất cà phê chủ yếu.)

Hình 1. Sản lượng cà phê của các quốc gia sản xuất cà phê chính
Tuy nhiên, bên cạnh những thành tựu đó, ngành sản xuất cà phê của Việt Nam đang đối diện với nhiều thách thức môi trường nghiêm trọng. Nhiều nghiên cứu đã chỉ ra rằng sản xuất cà phê của Việt Nam tăng trưởng kém bền vững: sử dụng phân bón hóa học vượt quá mức cần thiết gây nên nhiều tác động về kinh tế và môi trường hoặc sử dụng nước ngầm thiếu bền vững trầm trọng và bất cân đối giữa các khu vực. Nhiều tác động tiêu cực đã được cảnh báo như ô nhiễm tài nguyên đất và nước. Người ta có thể nghi ngờ rằng, nếu tiếp tục thực trạng này thì ngành cà phê Việt Nam trong tương lai có thể tiếp tục duy trì đà tăng trưởng về sản lượng hay không. Lợi ích kinh tế của người dân trong tương lai sẽ bị ảnh hưởng nghiêm trọng bởi thói quen canh tác thiếu bền vững hôm nay.
Một số nghiên cứu chỉ ra rằng người tiêu dùng cà phê nhận thức vai trò quan trọng của yếu tố môi trường trong sản xuất cà phê và họ sẵn lòng chi trả cao hơn cho những yếu tố môi trường này. Người tiêu dùng từ những thị trường cà phê lớn như Mỹ và Đức sẵn lòng chi trả tăng thêm cho sản phẩm cà phê sản xuất có chứng nhận, như chứng nhận Công bằng thương mại (Fairtrade). Chúng ta kỳ vọng người trồng cà phê sẽ nhận được mức giá cao hơn khi tham gia các chương trình chứng nhận. Nghĩa là, lợi ích kinh tế của sản xuất cà phê theo chứng chỉ sẽ rõ ràng và đủ lớn để cải thiện môi trường sinh thái trong sản xuất cà phê.
Tuy nhiên, thực tế cho thấy lợi ích kinh tế của người trồng cà phê theo chứng chỉ mang lại chưa rõ ràng. Một số nghiên cứu chỉ ra rằng người trồng cà phê thu được lợi nhuận cao hơn do giá cả của sản phẩm theo chứng chỉ mang lai, nhưng một số nghiên cứu lại kết luận chưa có lợi ích kinh tế. Người tiêu dùng chi trả cao hơn nhưng nông dân trồng cà phê theo chứng nhận không đạt được lợi ích kinh tế hoặc lợi ích kinh tế rất thấp. Vậy, câu hỏi đặt ra là lợi ích khi tham gia chứng chỉ bền vững mà người tiêu dùng chi trả cao hơn, ai sẽ hưởng lợi – nếu không phải là người trồng cà phê. Động cơ của các doanh nghiệp trung gian khi thuyết phục người dân tham gia chứng chỉ bền vững là vì lợi ích của các bên liên quan hay đơn thuần là công cụ thị trường.
Từ thị hiếu tiêu dùng sản phẩm cà phê bền vững và thực trạng sản xuất kém bền vững, việc tham gia sản xuất theo chứng chỉ bền vững được coi như một chiến lược của ngành cà phê ở Việt Nam. Trong thập kỷ gần đây nhiều tổ chức cung cấp chứng chỉ bền vững trong sản xuất cà phê thu hút được sự quan tâm của các bên liên quan. Những chứng chỉ phổ biến đã được áp dụng ở Việt Nam như Utz- Certified, 4C (the Common Code for the Coffee Community), Fairtrade và Rainforest Alliance. Những năm đầu thập niên 2010 khoảng 33% sản lượng cà phê đã được cấp chứng nhận bền vững. Tính đến năm 2017, khoảng trên 60% diện tích trồng cà phê đã áp dụng theo chứng chỉ. Sự tăng trưởng nhanh chóng này đặt ra những lo ngại về chất lượng của chứng chỉ. Liệu tham gia sản xuất theo chứng chỉ có thực sự mang lại lợi ích trường và kinh tế cho ngành cà phê hay không hay chỉ là một công cụ thị trường.
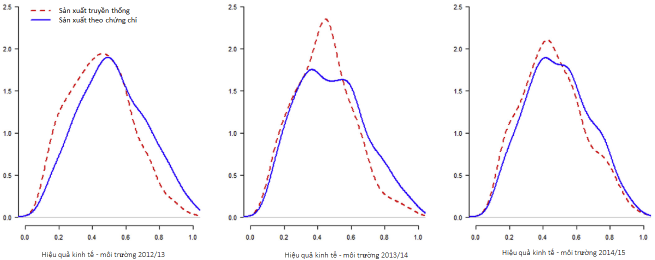
Kết quả nghiên cứu của 726 hộ sản xuất cà phê (trong đó, gần 400 hộ sản xuất theo chứng chỉ và hơn 300 hộ chưa tham gia chứng chỉ) trong ba niên vụ, từ 2012/13 đến 2014/15 cho thấy:

Hình 2. Hiệu quả kinh tế - môi trường
Bài viết liên quan |
